Temps et relativité restreinte

Ce QCM est noté sur 19. Chaque question peut avoir une, plusieurs ou aucune réponses exactes.
Chaque réponse juste donne 1 point. (Il y a donc 19 réponses justes).
Chaque réponse fausse retire 0.5 point. (Il vaut donc mieux être sûr de ses réponses.)

Question 1

La célérité de la lumière:

dépend du référentiel choisi.
ne dépend pas du référentiel choisi.
dépend du milieu de propagation.
ne dépend pas du milieu de propagation



Question 2

La célérité de la lumière dans le vide:

est une vitesse limite que rien ne peut dépasser.
ne peut être atteinte que par des particules sans masse.
peut être atteinte par tout type de particules.




Question 3

La célérité de la lumière dans le vide :

vaut toujours 3.108 m.s-1.
peut dépasser 3.108 m.s-1 si la source de lumière est en mouvement.
peut être inférieure 3.108 m.s-1 si la source de lumière est en mouvement.




Question 4

La vitesse de la lumière dans l’eau:

est supérieure à la célérité de la lumière dans le vide.
est égale à la célérité de la lumière dans le vide.
est inférieure à la célérité de la lumière dans le vide.



Question 5

En relativité restreinte,dans un référentiel galiléen, la vitesse de la lumière dans le vide:

est dite relative.
est dite absolue.




Question 6

L’invariance dans le vide de la valeur de la lumière dans un référentiel galiléen est un postulat de:

Galilée.
Einstein.
Newton.



Question 7

La relativité du temps est une théorie:

qui n'est pas vérifiable.
qui est vérifiable mais n'a aucune conséquence pratique sur les dispositifs construits par l’homme.
qui est vérifiable et a des conséquences pratiques sur certains dispositifs construits par l’homme.




Question 8

Quelle technologie a besoin de prendre en compte la relativité restreinte pour fonctionner de manière relativement correcte ?

Internet.
l'horloge atomique.
le GPS.
Aucune de ces technologies.



Question 9

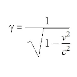
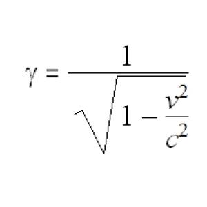
La durée mesurée ΔT' et la durée propre ΔT0 sont liés par la relation ΔT'=γ.ΔT0

γ s'exprime en m.s-1
γ s'exprime en s-1
γ s'exprime en m
γ n'a pas d'unité



Question 10

En relativité restreinte, les durées mesurées sont :

contractées par rapport aux durées propres.
les mêmes que les durées propres.
dilatées par rapport aux durées propres.




Question 11

La mécanique classique:

est un cas particulier de la mécanique relativiste.
est une généralisation de la mécanique relativiste.
correspond au cas ou γ=1




Question 12

Deux personnes munies de chronomètres observent les deux mêmes événements.Les durées séparant ces deux événements sont sensiblement différentes si:

ces deux personnes sont immobiles l'une par rapport à l'autre.
ces deux personnes sont en mouvement l'une par rapport à l'autre à une vitesse de faible valeur.
ces deux personnes sont en mouvement l'une par rapport à l'autre à une vitesse de forte valeur.




Question 13

Une durée mesurée par un observateur en mouvement peut être:

égale à sa durée propre.
inférieure à sa durée propre.
supérieure à sa durée propre.




Question 14

Une fusée se dirige avec une vitesse v vers une station spatiale immobile dans un référentiel galiléen. Pour un occupant de la station, par comparaison avec une horloge de la station, une horloge embarquée dans la fusée:

Indique le même temps.
prends de l'avance.
prends du retard.




Question 15

Supposons qu’une source lumineuse se déplace à une vitesse de 0,80.c dans un référentiel terrestre, supposé galiléen. Quelle est la célérité des photons émis par cette source, dans le référentiel considéré

2.108 m.s-1.
2,4.108 m.s-1.
3.108 m.s-1.
4.108 m.s-1.




Merci de cliquer sur le bouton ci-dessous pour obtenir la correction de votre QCM