Transformations en chimie organique (aspect macroscopique)

Ce QCM est noté sur 17. Chaque question peut avoir une, plusieurs ou aucune réponses exactes.
Chaque réponse juste donne 1 point. (Il y a donc 17 réponses justes).
Chaque réponse fausse retire 0.5 point. (Il vaut donc mieux être sûr de ses réponses.)

Question 1

La molécule représentée ci-dessous:

possède 4 atomes de carbone.
possède une chaîne principale de 4 atomes de carbone.
possède un groupe hydroxyle.
possède un groupe carboxyle.



Question 2

Les molécules représentées ci- dessous:

possèdent la même chaîne carbonée principale.
possèdent le même groupe caractéristique.
sont des isomères.
sont identiques.



Question 3

Les molécules représentées ci- dessous :

possèdent la même chaîne carbonée principale.
possèdent le même groupe caractéristique.
sont des isomères.
sont identiques.



Question 4

La molécule représentée ci-dessous :

est un acide carboxylique.
est un alcool.
est un aldéhyde.
est une cétone.



Question 5

Pour raccourcir la chaîne carbonée d’une molécule, on utilise une technique appelée:

distillation.
polymérisation.
craquage.




Question 6

Le craquage est une technique qui:

nécessite d’augmenter fortement la température du milieu contenant les molécules initiales.
nécessite de diminuer fortement la température du milieu contenant les molécules initiales.
nécessite d’ajouter une espèce acide au milieu contenant les molécules initiales.




Question 7

On considère une molécule qui subit une réaction de substitution:

une double liaison va se créer dans la molécule.
une double liaison va disparaître dans la molécule.
elle va perdre certains de ses atomes (qui vont être replacés par d’autres)




Question 8

On considère une molécule qui subit une réaction d’addition:

une double liaison va se créer dans la molécule.
une double liaison va disparaître dans la molécule.
elle va perdre certains de ses atomes (qui vont être replacés par d’autres)




Question 9

On considère une molécule qui subit une réaction d’élimination:

une double liaison va se créer dans la molécule.
une double liaison va disparaître dans la molécule.
elle va perdre certains de ses atomes (qui vont être replacés par d’autres).




Question 10

La molécule représentée ci-dessous :

est un alcane.
est un alcène.
est un alcool.
n'existe pas.



Question 11

On considère une réaction d’addition sur la molécule représentée ci-dessous:

la double liaison va être transformée en liaison triple.
la double liaison va être transformée en liaison simple.
la double liaison ne va pas être modifiée.
la molécule va se couper en 2, au niveau de la double liaison.



Question 12

On considère une réaction d’élimination sur la molécule représentée ci-dessous:

la double liaison va être transformée en liaison triple.
la double liaison va être transformée en liaison simple.
la double liaison ne va pas être modifiée.
la molécule va se couper en 2, au niveau de la double liaison.



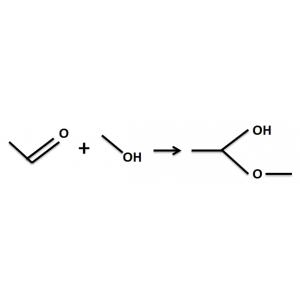
Question 13

La réaction représentée ci-dessous:

est une réaction d’addition.
est une réaction d’élimination.
est une réaction de substitution.




Question 14

La réaction représentée ci-dessous :

est une réaction d’addition.
est une réaction d’élimination.
est une réaction de substitution.





Merci de cliquer sur le bouton ci-dessous pour obtenir la correction de votre QCM