Quantités de matière

Ce QCM est noté sur 20. Chaque question peut avoir une, plusieurs ou aucune réponses exactes.
Chaque réponse juste donne 1 point. (Il y a donc 20 réponses justes).
Chaque réponse fausse retire 1 point. (Il vaut donc mieux être sûr de ses réponses.)

Question 1

La mole est:

une quantité de matière qui contient autant d'entités élèmentaires qu'il y a dans 16,0 g d'Oxygène 16.
contient un nombre d'entités élèmentaires qui est toujours le même.
une quantité de matière qui contient autant d'entités élèmentaires qu'il y a dans 12,0 g de carbone 12.
contient un nombre d'entités élèmentaires donné par la constante d'Avogadro.



Question 2

La constante d'Avogadro :

est un nombre très grand.
représente le nombre d'entités élémentaires dans une mole.
est un nombre très petit.



Question 3

La masse molaire M, la quantité de matiére n , et la masse m sont liés par :

la relation 1 .
la relation 2.
la relation 3.
la relation 4.



Question 4

La concentration molaire est donnée par :

la relation 1.
la relation 2.
la relation 3.
la relation 4.



Question 5

La concentration massique est donnée par :

la relation 1
la relation 2
la relation 3
la relation 4



Question 6

La densité :

est égale à la masse d'un volume V d'un liquide divisée par la masse d'un même volume d'eau.
est exprimée en g/mL.
est égale à la masse d'un volume d'eau divisée par la masse du même volume d'un autre liquide.
n'a pas d'unité.


Question 7

Dans la loi des gaz parfaits :

P est en bar, V en L et T en °C.
P est en bar, V en L et T en K.
P est en Pa, V en L et T en °C.
P est en Pa, V en L et T en K.



Question 8

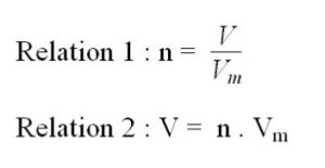
Le volume molaire est :

exprimé en mol/L
exprimé en L/mol
donné par la relation 1.
donné par la relation 2.



Question 9

Une coupelle contient une mole de sucre. Une autre coupelle contient une mole de soufre. Ces 2 échantillons:

ont forcement même masse.
n'ont pas forcement même masse.
ont forcement même volume.
n'ont pas forcement même volume.



Question 10

le volume molaire

depend de la pression
ne depend pas de la pression
est une constante ayant toujours la même valeur, quelque soit la temperature




Merci de cliquer sur le bouton ci-dessous pour obtenir la correction de votre QCM